
膜Shu前沿专栏致力于深度探索医学前沿,领略创新的魅力。在这里,我们将聚焦临床热点,解析未来诊疗趋势,为您呈现前沿文献资讯与深度解读。让我们一同倾听前沿之声,见证医学改变世界的力量。
开窗主动脉瘤腔内修复术(FEVAR)是近年来主动脉领域的热点话题,其中桥接支架的选择至关重要。为了避免术后内漏和支架移位,目前临床更倾向于使用球扩式覆膜支架(BECS)来提高整个支架系统的密封性和稳定性。据报道,在FEVAR术后的3-5年中,有11%-44%的病例出现了并发症。再干预病例中,5%-15%与靶血管闭塞有关,4%-10%与BECS相关内漏有关。既往基于FEVAR术中BECS的几何学研究表明,采用计算机断层扫描血管造影(CTA)检查得出的BECS 3D成像能够更精准的评估并发症的发生。Gore Viabahn VBX作为相对新型的桥接支架,初步研究已证实其应用于FEVAR术中的安全性和有效性,但还未有过相关研究报道。本期为大家带来一项多中心、回顾性队列研究,揭秘VBX的喇叭口属性,从而为复杂主动脉病变患者的安全管理提供科学依据与实践指导。
精彩内容,欢迎阅读!
Gore Viabahn VBX的高柔顺性和丰富的支架长度,使得近年来桥接支架的选择趋势有了明显变化。美国主动脉研究联盟发布了近15年,球扩式覆膜支架(BECS)、自膨式覆膜支架(SECS)以及混合型支架(HSG)的使用量,BECS的使用量自2014年的18%增长至2020年的69%,其中Gore Viabahn VBX的使用量从2016年的5%增长至2020年的79%,凭借其卓越的性能成为了应用数量最多的桥接支架。此分析认为关注BECS的短缩和谨慎扩张可以减少FEVAR术后内漏,结合本文的3D几何学成像技术,可有效预防术后并发症。
图6:柱状图显示了不同释放机制方式(A)和支架生产商(B)的覆膜支架使用量随时间的分布情况。BECS,球扩式覆膜支架;HSG,混合型支架;SECS,自膨式覆膜支架。
开窗主动脉瘤腔内修复术(FEVAR)技术成功率高、术中靶血管闭塞率低(0.6%),围手术期死亡率低(4%),是肾旁主动脉瘤治疗的优选方案。球扩式覆膜支架(BECS)将近端扩张成喇叭口与开窗覆膜支架连接,为了保证BECS和窗孔之间的持久密封性,防止出现与BECS相关的并发症,喇叭口的充分扩张尤为关键。本研究的主要目的是评估Gore Viabahn VBX BECS在FEVAR术后的3D扩张几何形态,来确定和观察与BECS相关的并发症
这项多中心回顾性研究纳入了2018年至2022年期间参与VBX Expand Registry的3个血管中心接受FEVAR的患者。入组的患者至少有一条内脏动脉接受了VBX治疗,并进行了2次CTA 随访检查(第一次随访 [FU1]:0-6 个月;第二次随访[FU2]:9-24 个月)。使用3mensio血管工作站和专用CTA应用软件评估VBX喇叭口的几何形态,包括喇叭口到窗孔的距离、喇叭口与窗孔直径比、喇叭口角度以及与靶动脉的位置关系。

图1. A: 3mensio血管工作站中BECS喇叭口几何的直角坐标标记放置示意图。喇叭口水平标记(P1-P4)位于BECS近端,开窗标记(F1-F4)位于窗孔水平,靶动脉腔内标记(D1-D4)位于BECS远端。B:BECS喇叭口几何示意图。喇叭口的3D几何图像由喇叭口直径(D-flare)、喇叭口到窗孔的距离(FFD)、窗孔直径(D-fenestration)、喇叭口角度和位置。喇叭口与窗孔直径比(D-ratio)的计算方法是喇叭口直径中位数除以窗孔直径中位数计算得到。
共对43例FEVAR患者的90个VBX进行了分析。应用VBX的病变如下:左肾动脉(LRA)平均为5.4±1.2mm(n=29),右肾动脉(RRA)为5.6±0.7mm(n=27),肠系膜上动脉(SMA)为8.1±1.2mm(n=15),腹腔干(CTR)为7.8±1.3mm(n=19)。
术中采用VBX的尺寸包括7×29mm(n=29)、6×29mm(n=18)、8×29mm(n=11)、7×39mm(n=10)、8×39mm(n=5)、6×19mm(n=4)、9×39mm(n=4)、6×39mm(n=3)、5×29mm(n=2)、8×19mm(n=1)、9×29mm(n=1)、8×59mm(n=1)以及5×15mm(n=1),规格有效覆盖了不同血管解剖的需求。
两次随访时间分别为35天(29-51天)和14个月(13-15个月)。FU1时,喇叭口到窗孔的平均距离为5.6±2.0mm,FU2时,平均距离仍维持在5.7±2.0mm(P=0.417)。FU1时,喇叭口与窗孔直径比为1.19±0.17,FU2时仍维持在1.21±0.19(P=0.206)。FU1时的平均贴壁长度为18.6±5.3mm,FU2时仍为18.6±5.3mm(p=0.550)。FU1时的喇叭口成角为31°±15°,FU2时变为33°±16°(p=0.009)。在FU1,BECS相关并发症发生率为1%,BECS相关再干预率为0%。在FU2时,BECS相关并发症发生率为3%,BECS相关再干预率为1%。
表1. VBX BECS 喇叭口的几何变量。
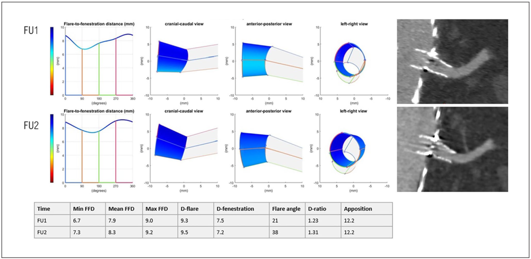
图2为无并发症的BECS病例,植入左肾动脉(LRA)VBX喇叭口3D几何形态接近于表1中研究人群报告的平均值。VBX的D-ratio、FFD和管壁贴合度保持不变,喇叭口成角变化了17°。

图2. 无并发症的左肾动脉(LRA)VBX喇叭口3D几何图形(头尾位、前后位及左右位视图)和3mensio血管工作站的snake视图。
在这项研究中,VBX桥接支架的喇叭口几何形态在14个月的随访期间没有明显变化。对喇叭口的3D几何形态分析可能有助于在早期随访中发现导致内漏和靶血管闭塞的危险因素,提前进行再干预处理以预防并发症的发生。但该结论还需更大规模的研究,对比不同难易程度的病例来进一步验证。
充分的D-ratio(喇叭口与窗孔直径比)、BECS喇叭口(FFD)周向长度以及与靶动脉的充分贴壁,是维持支架长期通畅的必要条件。本研究中,FU1的D-ratio平均值为1.19±0.17mm,FU2时仍维持在1.21±0.19mm。与Overeem教授和Squizzato教授的研究结果相似。根据Squizzato教授的研究结果显示,与其他BECS相比,VBX具有更好的喇叭口特征,喇叭口扩张比例显著更高(p=.011)。这一发现也与Torsello教授对VBX的生物力学特性测试结果一致。FEVAR术后对BECS的3D几何成像分析为临床提供了一个有力工具,可以对每个BECS的不同部分进行形态检测。此方法普适性强,不仅限于VBX支架,可适用于所有类型的BECS。
Ref:
1.Fouad F, Saleem BR, Tielliu IFJ, et.al. Three-Dimensional Geometric Analysis of Viabahn VBX Bridging Stent Grafts in Fenestrated Endovascular Aortic Repair: A Multicenter, Retrospective Cohort Study. J Endovasc Ther. 2024 May 6:15266028241248600. doi: 10.1177/15266028241248600. Epub ahead of print. PMID: 38708986.
2. Tenorio ER, Schanzer A, Timaran CH, et al. Effect of bridging stent graft selection for directional branches on target artery outcomes of fenestrated-branched endovascular aortic repair in the United States Aortic Research Consortium. J Vasc Surg. Mar 20 2023;doi:10.1016/j.jvs.2023.03.025
END




